Шрифт:
A
A
A
Изображения:
Фон:
A
A
Вернуть
Отключить
ФЕДЕРАЦИЯ ПЛАВАНИЯ
ХАБАРОВСКОГО КРАЯ
Для слабовидящих
allochka_888@bk.ru
Онлайн результаты
соревнований
→
Новости
Бассейны
г. Хабаровск
г. Комсомольск-на-Амуре
Районы
36 часов
Соревнования
Календарь соревнований
Положения
Результаты
Судьи
Рекорды
Сборная края
Галереи
Фото
Видео
Витрина
Федерация
Контакты
НОВОСТИ
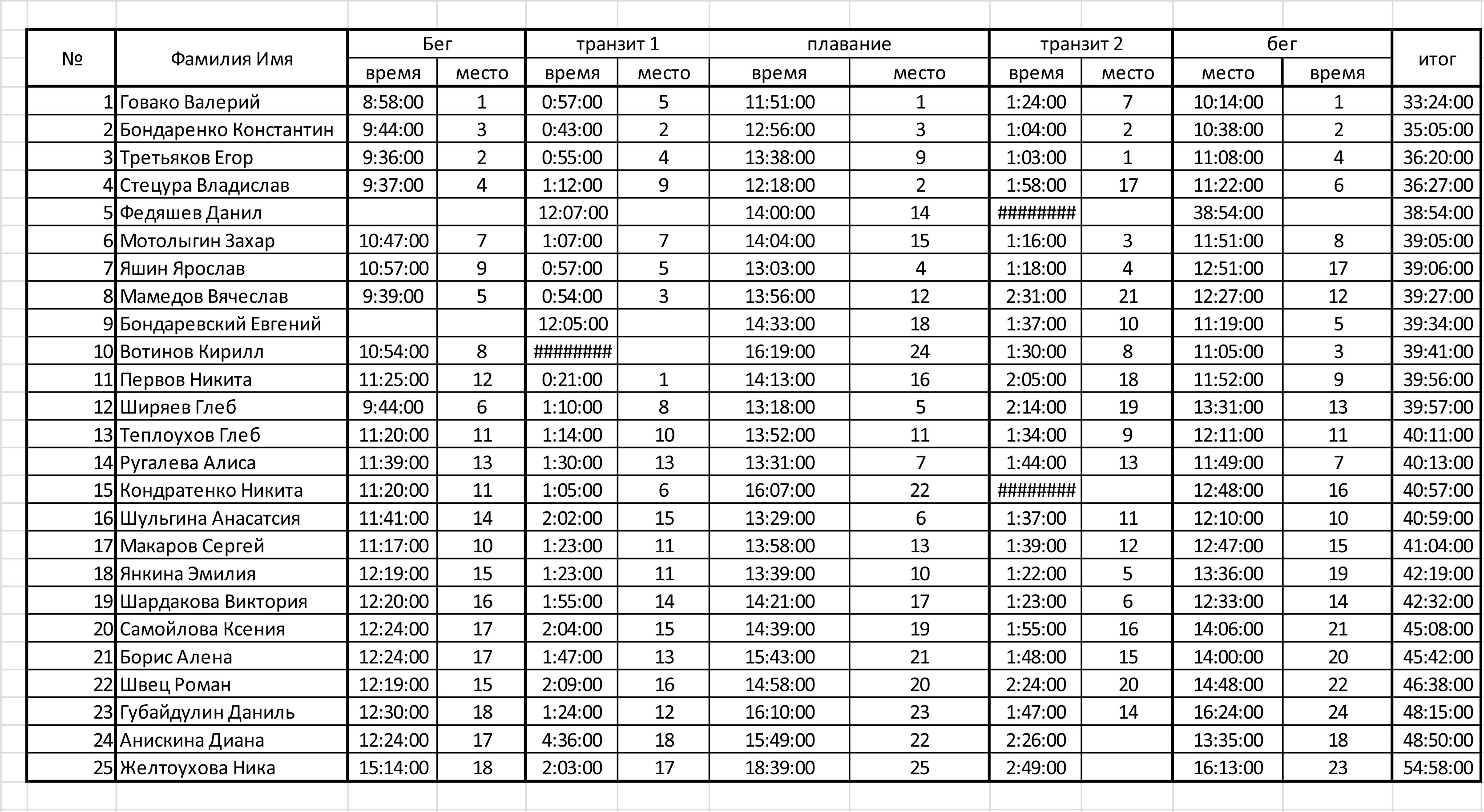
Итоги акватлона, проводимого среди спортсменов СШОР «Дельфин»
Итоги соревнований
Краевые соревнования по плаванию «III этап детской лиги плавания Хабаровского края» среди юношей и девушек 9-10 лет, юношей и девушек 8 лет Хабаровск, 23. - 25.9.2025
27.09.2025
Краевые соревнования по плаванию III этап Кубка Федерации плавания Хабаровского края среди мужчин и женщин, юношей и девушек 14-15 лет, юношей и девушек 11-13 лет
15.09.2025
Кубок Хабаровского края
31.08.2025
Итоги первенства Хабаровского края "Весёлый дельфин", 03-05.04.2024
06.04.2024
Итоги межрегиональных соревнований по плаванию "Амурские тигрята", 28-30.03.2024
31.03.2024
Смотреть больше
Спортивный календарь на 2025 год →
Краевые соревнования "III этап Кубка федерации плавания Хабаровского края" 25-27 сентября 2024 г.
Все события →